
میانگین متحرک در ارزهای دیجیتال
با میانگین متحرک روند قیمت ارزهای دیجیتال را بهتر بشناسید. این ابزار محبوب تحلیل تکنیکال، نوسانات کوتاهمدت را فیلتر میکند.
در بازارهایی مثل ارز دیجیتال که همیشه در حال نوسان هستند، فهمیدن مسیر کلی حرکت قیمت خیلی مهم است. یکی از ابزارهایی که معامله گران زیادی از آن استفاده می کنند، میانگین متحرک یا Moving Average است. این ابزار کمک می کند نوسانات کوتاه مدت حذف شوند و تصویر واضح تری از روند کلی قیمت به دست بیاید. در این مقاله قرار است با میانگین متحرک آشنا شویم، انواع آن را بشناسیم و یاد بگیریم چطور می توان از آن برای تحلیل بهتر بازار استفاده کرد.
Table of contents [Show]
- 1 میانگین متحرک چیست؟
- 2 کاربرد میانگین متحرک در تحلیل تکنیکال
- 3 انواع میانگین متحرک
- 4 فرمول میانگین متحرک ساده (SMA)
- 5 فرمول میانگین متحرک نمایی (EMA)
- 6 استراتژی معامله با میانگین متحرک
- 7 استفاده از میانگین متحرک در تریدینگ ویو
- 8 معایب میانگین متحرک
- 9 نقش میانگین متحرک در حذف نویز قیمتی
- 10 اشتباهات رایج در استفاده از میانگین متحرک
- 11 ابزارها و پلتفرمهای رایج برای استفاده از MA
- 11. 1 تریدینگ ویو (TradingView)
- 11. 2 متاتریدر (MetaTrader 4 و MetaTrader 5)
- 11. 3 کوین مارکت کپ و کوین گکو (CoinMarketCap / CoinGecko)
- 11. 4 صرافی های بزرگ مثل بایننس، کوکوین و اوکی اکسچنج
- 11. 5 نرم افزارهای حرفه ای مثل NinjaTrader و ThinkorSwim
- 11. 6 اپلیکیشن های موبایل مثل Investing.com و Binance App
- 12 مقایسه میانگین متحرک با سایر اندیکاتورها
- 13 ترکیب میانگین متحرک با ابزارهای دیگر
میانگین متحرک چیست؟
میانگین متحرک یکی از ابزارهای ساده و پرکاربرد در تحلیل تکنیکال بازارهای مالی مثل بورس، فارکس یا ارز دیجیتال است. میانگین متحرک میانگین قیمت یک دارایی مثل سهام یا ارز را در یک بازه زمانی مشخص حساب می کند و به شکل یک خط روی نمودار نمایش می دهد. این خط کمک می کند نوسانات شدید و لحظه ای قیمت کمتر دیده شود و معامله گر راحت تر بتواند مسیر کلی حرکت قیمت را تشخیص بدهد. مثلا اگر قیمت در کوتاه مدت بالا و پایین زیادی داشته باشد، میانگین متحرک باعث می شود روند اصلی بازار یعنی صعودی یا نزولی بودن آن بهتر دیده شود. میانگین متحرک انواع مختلفی دارد. معامله گران از میانگین متحرک برای شناسایی روند کلی بازار و پیدا کردن نقاط خرید و فروش استفاده می کنند. مثلا وقتی قیمت بالاتر از خط میانگین متحرک باشد، یعنی روند صعودی است و وقتی پایین تر باشد، یعنی روند نزولی است. همچنین اگر دو میانگین متحرک با دوره های مختلف همدیگر را قطع کنند، می تواند نشانه تغییر روند باشد.
پیشنهاد مطالعه: بهترین ابزارهای معاملاتی روزانه برای تریدرها
کاربرد میانگین متحرک در تحلیل تکنیکال
اندیکاتور میانگین متحرک یکی از ابزارهای مهم در تحلیل تکنیکال است که معامله گران از آن برای گرفتن سیگنال خرید و فروش استفاده می کنند. این اندیکاتور دو کاربرد اصلی دارد:
مشخص کردن روند بازار
یکی از مهم ترین کارهایی که میانگین متحرک انجام می دهد، مشخص کردن جهت حرکت نمودار سهم یا هر دارایی دیگر است. یعنی وقتی شما خط میانگین متحرک را روی نمودار می بینید، اگر این خط رو به بالا باشد یعنی قیمت در مسیر صعودی است و احتمال رشد قیمت بیشتر است. اگر خط رو به پایین باشد یعنی روند نزولی است و احتمال کاهش قیمت وجود دارد. به همین دلیل خیلی از معامله گران قبل از خرید یا فروش، اول به جهت حرکت میانگین متحرک نگاه می کنند تا روند کلی بازار را بفهمند.
پیدا کردن نقاط حمایت و مقاومت
کاربرد دوم میانگین متحرک پیدا کردن نقاط حمایت و مقاومت است. یعنی وقتی قیمت به خط میانگین متحرک نزدیک می شود، این خط می تواند مثل یک سد عمل کند. مثلا اگر قیمت در حال پایین آمدن باشد و به خط میانگین متحرک برسد، ممکن است دوباره به سمت بالا برگردد که به این نقطه حمایت می گویند. یا اگر قیمت در حال بالا رفتن باشد و به خط میانگین متحرک برسد، ممکن است دوباره پایین بیاید که به این نقطه مقاومت گفته می شود.
برای این کار معمولا از دو میانگین متحرک با دوره های مختلف استفاده می کنند. یکی کوتاه مدت و یکی بلند مدت. وقتی میانگین متحرک کوتاه مدت (مثلا 20 روزه) از پایین به بالای میانگین متحرک بلند مدت (مثلا 50 روزه) می رسد، این یک سیگنال صعودی قوی است و نشان می دهد احتمال رشد قیمت زیاد است. برعکس اگر میانگین کوتاه مدت از بالا به پایین میانگین بلند مدت را قطع کند، یعنی روند نزولی شروع شده و احتمال کاهش قیمت وجود دارد.
انواع میانگین متحرک
میانگین متحرک یکی از ابزارهای اصلی تحلیل تکنیکال است که در دو نوع رایج استفاده می شود: میانگین متحرک ساده (SMA) و میانگین متحرک نمایی (EMA). هر کدام از این دو نوع، ویژگی ها و کاربردهای خاصی دارند که دانستن تفاوتشان به تصمیم گیری بهتر در معاملات کمک زیادی می کند.
میانگین متحرک ساده ( SMA)
میانگین متحرک ساده یا SMA یکی از پرکاربردترین ابزارهای تحلیل تکنیکال است که به صورت میانگین گیری یکنواخت از قیمت های پایانی در یک بازه زمانی مشخص عمل می کند. در واقع برای محاسبه SMA کافی است قیمت های پایانی در یک دوره مشخص (مثلاً ۱۰ روز) را با هم جمع کرده و بر تعداد روزها تقسیم کنیم. این نوع میانگین نوسانات کوتاه مدت را کاهش می دهد و مسیر کلی حرکت قیمت را نشان می دهد. SMA برای تشخیص روندهای کلی بازار مناسب است و معمولاً در تحلیل های بلندمدت کاربرد دارد. با این حال، چون تمام داده ها وزن یکسانی دارند، نسبت به تغییرات سریع قیمت واکنش کندتری دارد.
میانگین متحرک نمایی ( EMA)
میانگین متحرک نمایی یا EMA نسخه دقیق تر و حساس تری نسبت به SMA است. در این روش داده های جدیدتر وزن بیشتری دارند و همین موضوع باعث می شود EMA سریع تر به تغییرات قیمت واکنش نشان دهد. این ویژگی EMA را به ابزاری مناسب برای بازارهای پرنوسان مانند ارزهای دیجیتال تبدیل کرده است. در این بازارها که قیمت ها دائم در حال تغییر هستند، EMA به معامله گران کمک می کند تا بتوانند سیگنال های سریع تری برای ورود یا خروج از معامله دریافت کنند. به همین دلیل، اغلب تریدرهای کوتاه مدت و فعال از EMA استفاده می کنند تا بتوانند بهتر با نوسانات بازار هماهنگ شوند.
تفاوت میانگین متحرک ساده (SMA) و نمایی (EMA)
میانگین متحرک ساده یا SMA یکی از روش های رایج برای بررسی روند قیمت در بازارهای مالی است که با محاسبه میانگین قیمت های پایانی در یک بازه زمانی مشخص به دست می آید و همه داده ها وزن برابر دارند، بنابراین نسبت به نوسانات کوتاه مدت واکنش کمتری نشان می دهد و برای تحلیل های بلندمدت مناسب است. در مقابل، میانگین متحرک نمایی یا EMA وزن بیشتری به قیمت های جدیدتر می دهد و سریع تر به تغییرات قیمت واکنش نشان می دهد، که این ویژگی باعث می شود EMA برای بازارهای پرنوسان مثل ارزهای دیجیتال و معامله گران کوتاه مدت کاربردی تر باشد. تفاوت اصلی بین این دو در سرعت واکنش آنها به تغییرات قیمت است؛ SMA کندتر و باثبات تر و EMA سریع تر و حساس تر است. انتخاب بین SMA و EMA بستگی به هدف معامله گر دارد؛ برای تحلیل بلندمدت SMA و برای واکنش سریع به تغییرات EMA مناسب تر است، و بسیاری از تحلیلگران حرفه ای هر دو را همزمان استفاده می کنند تا نقاط تقاطع آنها را به عنوان سیگنال خرید یا فروش در نظر بگیرند. تفاوت ها را در جدول زیر می بینید:
| ویژگی | میانگین متحرک ساده (SMA) | میانگین متحرک نمایی (EMA) |
| تعریف | میانگین ساده قیمت های بسته شدن کندل ها در یک بازه زمانی مشخص | میانگین قیمت های بسته شدن کندل ها با وزن بیشتر برای کندل های اخیر |
| سرعت واکنش | کندتر واکنش نشان می دهد چون همه داده ها وزن یکسان دارند | سریع تر واکنش نشان می دهد چون به داده های جدید وزن بیشتری می دهد |
| مناسب برای | شناسایی روندهای بلندمدت و فیلتر کردن نویز | شناسایی سریع تغییرات روند و معاملات کوتاه مدت |
| نقاط ضعف | سیگنال های دیرتر می دهد و ممکن است نقاط ورود و خروج کمی با تاخیر باشند | ممکن است نویز بیشتری داشته باشد و سیگنال های نادرست بیشتری تولید کند |
| محبوبیت در بازار | بیشتر در تحلیل بلندمدت یا تایید روند کلی استفاده می شود | بیشتر در استراتژی های کوتاه مدت و اسکالپینگ کاربرد دارد |
| مثال استفاده | MA50 یا MA200 برای بررسی روند کلی بازار | EMA12 یا EMA26 در اندیکاتورهایی مثل MACD بسیار پرکاربرد است |
| ترکیب کاربردی | اغلب با EMA ترکیب می شود تا تقاطع ها (Cross) مشخص شود | معمولا با SMA و سایر EMA ها ترکیب می شود برای تایید تغییر روند |
MA20 چیست؟
MA20 یعنی میانگین قیمت بسته شدن کندل های 20 دوره گذشته. اگر تایم فریم روزانه باشد یعنی متوسط قیمت بسته شدن در 20 روز گذشته، اگر تایم فریم ساعتی باشد یعنی میانگین قیمت 20 ساعت گذشته. این عدد برای معامله گران کوتاه مدت و اسکلپرها (Scalper) و نوسان گیرها خیلی ارزشمند است چون خیلی سریع تغییر روندهای کوچک را نشان می دهد. کاربرد اصلی MA20 عبارتند از:
- پیدا کردن نقاط ورود سریع (Entry) و خروج سریع (Exit)
- شناسایی پول بک ها در روند کوتاه مدت
- تشخیص قدرت روند: وقتی کندل ها بالای MA20 بسته می شوند یعنی روند کوتاه مدت قوی است و خریداران کنترل بازار را دارند. برعکس، وقتی قیمت زیر MA20 تثبیت می شود یعنی فروشندگان دست بالا را گرفته اند.
- ترکیب با اندیکاتورهای دیگر مثل RSI یا MACD برای کم کردن نویز
فرض کنید بیت کوین در یک روند صعودی است و قیمت در تایم فریم 4 ساعته حرکت می کند. اگر قیمت بیت کوین از MA20 عبور کند و یک کندل کامل زیر آن بسته شود، برای یک نوسان گیر می تواند نشانه شروع یک اصلاح یا پول بک باشد. در این حالت معامله گر می تواند پوزیشن خرید خود را ببندد یا برای ورود دوباره صبر کند تا قیمت دوباره MA20 را رو به بالا بشکند.
مثلا در ژانویه 2024 بیت کوین در تایم فریم روزانه چند بار به MA20 برخورد کرد و هر بار که قیمت MA20 را شکست، اصلاح کوتاه مدتی داشت. اما وقتی دوباره بالای MA20 تثبیت شد، روند صعودی ادامه پیدا کرد. این مثال نشان می دهد که MA20 چطور به نوسان گیرها کمک می کند تا سریع پوزیشن هایشان را مدیریت کنند.
نکته مهم:
هرچه MA کوتاه تر باشد (مثل MA20) سیگنال های سریع تری می دهد ولی احتمال سیگنال اشتباه هم بیشتر می شود. برای همین حرفه ای ها MA20 را به تنهایی استفاده نمی کنند بلکه همراه با خطوط مقاومت و حمایت یا MA های بلندمدت مثل MA50 و MA200 ترکیب می کنند. مثلا وقتی MA20 از پایین MA50 را قطع کند می تواند نشانه شروع یک روند جدید باشد.
پیشنهاد مطالعه: ربات تریدر چیست؟
MA50 چیست؟
MA50 یعنی میانگین قیمت بسته شدن کندل های 50 دوره گذشته. مثلا در تایم فریم روزانه یعنی متوسط قیمت بسته شدن در حدود 50 روز کاری گذشته. MA50 یکی از معروف ترین میانگین های متحرک برای معامله گران میان مدت است و معمولا برای پیدا کردن روند اصلی بازار در بازه های چند هفته ای یا چند ماهه استفاده می شود. کاربرد اصلی MA50 عبارتند از:
- پیدا کردن جهت روند میان مدت
- شناسایی نقاط حمایت و مقاومت داینامیک: قیمت اغلب به MA50 واکنش نشان می دهد و وقتی قیمت بالای MA50 باشد یعنی روند میان مدت صعودی است و وقتی زیر MA50 تثبیت شود یعنی روند میان مدت نزولی است.
- فیلتر کردن نویز قیمت های کوتاه مدت: MA50 نسبت به MA20 کندتر است و سیگنال های اشتباه کمتری می دهد.
- ترکیب با MA های بلندمدت تر مثل MA200 برای استراتژی هایی مثل کراس طلایی (Golden Cross) و کراس مرگ (Death Cross).
فرض کنید بیت کوین چند هفته در روند صعودی بوده و قیمت همیشه بالای MA50 حرکت کرده است. حالا اگر قیمت به MA50 برسد و دوباره به سمت بالا برگردد، خیلی ها این را نشانه تایید ادامه روند می دانند. اما اگر قیمت زیر MA50 تثبیت شود، ممکن است اصلاح عمیق تری شروع شود. مثلا در سال 2021 وقتی بیت کوین برای مدتی زیر MA50 تثبیت شد، خیلی از معامله گران فهمیدند که روند صعودی کوتاه مدت ضعیف شده و باید محتاط تر باشند یا پوزیشن های خرید خود را مدیریت کنند.
توجه کنید:
معامله گران حرفه ای MA50 را اغلب با MA20 و MA200 ترکیب می کنند تا تاییدیه بیشتری بگیرند. مثلا وقتی MA20 از پایین MA50 را قطع کند، بعضی ها این را شروع یک روند صعودی جدید می دانند و برعکس وقتی MA20 از بالا MA50 را قطع کند می تواند هشدار شروع یک روند نزولی باشد.
MA100 چیست؟
MA100 یعنی میانگین قیمت بسته شدن کندل های 100 دوره گذشته. مثلا اگر تایم فریم روزانه باشد یعنی قیمت بسته شدن در حدود 100 روز کاری گذشته را با هم جمع می کنند و میانگین می گیرند. این میانگین متحرک بیشتر برای معامله گران موقعیت محور (Position Trader) و کسانی که دنبال روندهای بلندمدت تر هستند کاربرد دارد. توجه کنید MA100 به خاطر بازه طولانی اش نسبت به MA20 یا MA50 کندتر است و سیگنال های اشتباه کمتری می دهد. برای همین معمولا برای کسانی که اهل معاملات سریع نیستند و بیشتر دنبال تایید روند بلندمدت بازارند، انتخاب خوبی است. کاربرد اصلی MA100 عبارتند از:
- شناسایی روند کلی بازار در بازه چند ماهه
- تشخیص سطوح حمایت و مقاومت قوی در تایم فریم های بلندتر
- استفاده به عنوان فیلتر برای معامله: بعضی ها فقط وقتی پوزیشن خرید می گیرند که قیمت بالای MA100 باشد چون معتقدند در این حالت روند کلی بازار صعودی است
- ترکیب با MA های دیگر مثل MA50 و MA200 برای تایید روند یا گرفتن سیگنال های تقاطع
فرض کنید بیت کوین چند ماه در حال رشد بوده و همیشه بالای MA100 حرکت کرده است. حالا اگر در یک اصلاح قیمت به MA100 برسد و دوباره از روی آن برگردد، خیلی ها این را نشانه ادامه روند صعودی می دانند. ولی اگر کندل ها زیر MA100 بسته شود و تثبیت کند، می تواند علامت ضعف روند یا شروع یک روند نزولی باشد. مثلا در بازار ارز دیجیتال دیده شده وقتی بیت کوین در تایم فریم روزانه برای مدت طولانی زیر MA100 می ماند، خیلی از سرمایه گذاران بلندمدت احتیاط می کنند یا حتی بخشی از پوزیشن خود را نقد می کنند چون احتمال تغییر روند زیاد است.
MA200 چیست؟
MA200 یعنی میانگین قیمت بسته شدن کندل های 200 دوره گذشته. اگر تایم فریم روزانه باشد یعنی میانگین قیمت حدود 200 روز کاری گذشته محاسبه می شود. این MA یکی از معتبرترین و پراستفاده ترین میانگین های متحرک در بازارهای مالی مثل سهام و ارز دیجیتال است. معامله گران حرفه ای و حتی موسسات مالی از MA200 برای تشخیص روند اصلی بازار استفاده می کنند. نکته مهم این است که هرچه دوره میانگین متحرک طولانی تر باشد، سیگنال های کمتری می دهد ولی این سیگنال ها معتبرتر هستند. MA200 چون بازه زمانی بلندی دارد، نویز بازار را فیلتر می کند و فقط روندهای بزرگ و واقعی را نشان می دهد. به همین دلیل تریدرها معمولا آن را به تنهایی یا همراه با MA50 و MA100 استفاده می کنند تا تصمیم های بهتری بگیرند.
کاربرد اصلی MA200 عبارتند از:
- مشخص کردن جهت کلی بازار در بازه بلندمدت
- تشخیص سطوح حمایت و مقاومت بسیار قوی
- فیلتر اصلی ورود یا خروج برای سرمایه گذاران بلندمدت
- گرفتن سیگنال های تقاطع مهم مثل Golden Cross (وقتی MA50 از پایین MA200 را قطع کند و به بالا برود) یا Death Cross (برعکس این حالت) که خیلی از تریدرها آن را نشانه شروع یا پایان یک روند بزرگ می دانند
فرض کنید بیت کوین چند ماه است در روند صعودی قرار دارد و همیشه قیمت بالای MA200 حرکت می کند. اگر ناگهان قیمت به زیر MA200 برود و چند کندل زیر آن تثبیت شود، خیلی ها این را نشانه شروع یک روند نزولی قوی می دانند. مثلا در سال 2022 وقتی بیت کوین زیر MA200 روزانه شکست، نشانه ای بود که بازار وارد فاز خرسی شده است. برعکس، اگر قیمت دوباره MA200 را به سمت بالا قطع کند و تثبیت شود، خیلی ها این را به عنوان سیگنال برگشت روند و شروع یک روند صعودی می دانند.
پیشنهاد مطالعه: تریدینگ ویو چیست؟
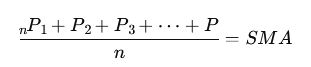
فرمول میانگین متحرک ساده (SMA)
که در آن:
- PiPi قیمت بسته شدن در دوره ii
- nn تعداد دورههای مورد نظر (مثلاً 20، 50 و غیره)
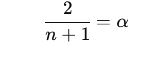
فرمول میانگین متحرک نمایی (EMA)
ابتدا ضریب هموارسازی (Smoothing factor) محاسبه میشود:
سپس مقدار EMA به صورت زیر محاسبه میشود:
که در آن:
- PامروزPامروز قیمت بسته شدن امروز
- EMAدیروزEMAدیروز مقدار EMA دوره قبل
- αα ضریب هموارسازی یا وزندهی
استراتژی معامله با میانگین متحرک
میانگین متحرک قیمت ها را در یک بازه زمانی مشخص میانگین گیری می کند و به این صورت نویزهای کوتاه مدت را حذف می کند تا روند کلی بازار واضح تر دیده شود. در تحلیل تکنیکال، دو نوع میانگین متحرک بیشتر کاربرد دارند: میانگین متحرک ساده (SMA) و میانگین متحرک نمایی (EMA). روش های اصلی استفاده از میانگین متحرک در معامله عبارتند از:
تقاطع میانگین های متحرک (Crossover)
رایج ترین استراتژی، استفاده از دو میانگین متحرک با دوره های مختلف است، مثلا MA50 و MA200. وقتی MA کوتاه مدت (مثلا MA50) از پایین به بالا MA بلندمدت (مثلا MA200) را قطع کند، این تقاطع به نام «تقاطع طلایی» (Golden Cross) شناخته می شود و سیگنال خرید قوی است. برعکس اگر MA50 از بالا به پایین MA200 را بشکند، «تقاطع مرگ» (Death Cross) رخ می دهد که سیگنال فروش است.
حمایت و مقاومت داینامیک
میانگین متحرک به عنوان خط حمایت یا مقاومت پویا عمل می کند. یعنی قیمت ممکن است به این خطوط واکنش نشان دهد، مثلا در روند صعودی وقتی قیمت به میانگین متحرک نزدیک شود، می تواند فرصت خرید مجدد باشد.
شناسایی روند
وقتی قیمت بالای میانگین متحرک باشد، روند بازار معمولا صعودی است و وقتی قیمت زیر میانگین متحرک قرار گیرد، روند نزولی است. این نکته به ویژه در تایم فریم های بلندمدت تر مثل MA200 اهمیت دارد.
نکات مهم در استفاده از MA در ارزهای دیجیتال
- ارزهای دیجیتال به دلیل نوسانات زیاد ممکن است سیگنال های کاذب (False Signals) زیادی تولید کنند، بنابراین بهتر است میانگین متحرک را همراه با سایر اندیکاتورها مثل RSI یا MACD استفاده کنید تا دقت تحلیل بالا برود.
- انتخاب نوع MA (SMA یا EMA) و طول دوره آن بسیار مهم است. مثلا EMA واکنش سریع تری به تغییرات قیمت دارد که برای بازار پرنوسان کریپتو مفید است.
- ترکیب میانگین های متحرک کوتاه مدت و بلندمدت به معامله گران کمک می کند روندهای کلان و تغییرات کوتاه مدت را بهتر درک کنند.
استفاده از میانگین متحرک در تریدینگ ویو
استفاده از میانگین متحرک (MA) در پلتفرم تریدینگ ویو یکی از ساده ترین و در عین حال کاربردی ترین روش ها برای تحلیل روند قیمت است. تریدینگ ویو با رابط کاربری روان و امکانات متنوع، امکان افزودن و تنظیم انواع میانگین متحرک را به راحتی فراهم کرده است.
چگونه میانگین متحرک را در تریدینگ ویو اضافه کنیم؟
- وارد حساب تریدینگ ویو شوید و نمودار ارز دیجیتال مورد نظر را باز کنید.
- از منوی بالا روی گزینه «Indicators» یا «اندیکاتورها» کلیک کنید.
- در کادر جستجو، عبارت «Moving Average» را تایپ کنید.
- دو نوع رایج میانگین متحرک ساده (SMA) و نمایی (EMA) نمایش داده می شوند. یکی را انتخاب کنید.
- میانگین متحرک روی نمودار ظاهر می شود و می توانید با کلیک روی تنظیمات آن، دوره زمانی (مثلا 20، 50، 100 یا 200) را تغییر دهید.
پیشنهاد مطالعه: بهترین صرافی های ارزهای دیجیتال در سال ۲۰۲۵
معایب میانگین متحرک
با وجود اینکه میانگین متحرک یکی از مهم ترین و پرکاربردترین ابزارهای تحلیل تکنیکال است، اما این ابزار هم مانند هر ابزار دیگری محدودیت هایی دارد. شناخت این محدودیت ها به معامله گران کمک می کند تا در استفاده از میانگین های متحرک هوشمندانه تر عمل کنند و تصمیم های دقیق تری بگیرند.
۱. تاخیر در سیگنال دهی
میانگین های متحرک همیشه بر اساس داده های گذشته محاسبه می شوند. به همین دلیل آن ها به طور طبیعی دارای تاخیر هستند. این یعنی وقتی قیمت یک دارایی تغییر جهت می دهد، میانگین متحرک ممکن است با تاخیر آن را نشان دهد. در نتیجه سیگنال خرید یا فروش ممکن است دیر صادر شود. این تاخیر در بازارهای سریع یا پرنوسان می تواند باعث شود که معامله گر بخشی از حرکت را از دست بدهد یا در نقطه ای وارد شود که دیگر خیلی سودآور نیست.
۲. سیگنال های غلط در بازارهای بدون روند
یکی از مشکلات رایج میانگین متحرک این است که در بازارهای رنج یا بدون روند (که قیمت در یک محدوده مشخص نوسان می کند)، ممکن است سیگنال های نادرست بدهد. در چنین شرایطی قیمت مدام از خط میانگین عبور می کند و بالا و پایین می رود، بدون اینکه روند مشخصی داشته باشد. این باعث می شود که میانگین متحرک چندین بار سیگنال خرید و فروش بدهد، در حالی که هیچ روند واقعی در جریان نیست. این نوع سیگنال های اشتباه می تواند باعث ضرر و سردرگمی معامله گر شود.
۳. حساس بودن به تنظیمات دوره زمانی
میانگین های متحرک فقط زمانی کارایی دارند که دوره زمانی آن ها درست انتخاب شود. مثلاً اگر شما از یک میانگین متحرک ۲۰ روزه استفاده کنید، ولی بازار نیاز به تحلیل بلندمدت تری داشته باشد، احتمالاً سیگنال ها دقیق نخواهند بود. برعکس اگر دوره خیلی طولانی انتخاب شود، ممکن است واکنش ابزار به تغییرات بازار بیش از حد کند باشد. بنابراین انتخاب دوره مناسب باید با توجه به استراتژی معاملاتی، تایم فریم و نوع بازار انجام شود. این موضوع نیاز به تجربه، آزمون و خطا و شناخت کافی از رفتار بازار دارد.
نقش میانگین متحرک در حذف نویز قیمتی
یکی از مهم ترین کاربردهای میانگین متحرک این است که مثل یک فیلتر عمل می کند و نویزهای قیمتی را حذف یا کم رنگ می کند. در بازار ارز دیجیتال، قیمت ها معمولا نوسانات لحظه ای و حرکات هیجانی زیادی دارند که ممکن است معامله گر را گیج کند یا او را دچار تصمیم های عجولانه کند. وقتی شما از یک میانگین متحرک استفاده می کنید (مثل SMA یا EMA)، در واقع قیمت های گذشته را با هم ترکیب و میانگین می گیرید. این کار باعث می شود حرکات کوچک و پراکنده (نویزها) محو شوند و روند اصلی بازار بهتر دیده شود.
مثلا فرض کنید بیت کوین در تایم فریم ۵ دقیقه ای دائما کندل های سبز و قرمز ریز دارد که هیچ روند واضحی نشان نمی دهد. اگر روی همین نمودار یک MA20 یا MA50 اضافه کنید، مسیر کلی حرکت قیمت را نرم و روان می بینید و راحت تر متوجه می شوید که قیمت واقعا در حال صعود است یا نزول. هرچه دوره میانگین متحرک بلندتر باشد، نویزها بیشتر حذف می شوند ولی واکنش MA به تغییر قیمت کندتر می شود. مثلا MA200 برای نمایش روند بلندمدت کاربرد دارد و تقریبا تمام حرکات کوچک را فیلتر می کند. به همین دلیل حرفه ای ها معمولا از ترکیب چند میانگین متحرک با دوره های مختلف استفاده می کنند. مثلا EMA20 برای تشخیص حرکات سریع و MA100 برای تایید روند اصلی. این ترکیب باعث می شود هم نویزها حذف شوند و هم سیگنال های اشتباه کمتر شود. در واقع باید گفت میانگین متحرک مثل یک خط راهنماست که به معامله گر کمک می کند بین شلوغی کندل ها، مسیر اصلی بازار را پیدا کند و تصمیم های دقیق تری بگیرد.
اشتباهات رایج در استفاده از میانگین متحرک
باید بدانید که با وجود کاربرد فراوان میانگین متحرک (MA)، خیلی از معامله گران به خاطر چند اشتباه رایج، نتیجه دلخواه از این ابزار نمی گیرند. در ادامه مهم ترین اشتباهات را توضیح می دهیم:
استفاده از یک MA به تنهایی
خیلی ها فقط یک میانگین متحرک (مثلا MA50) را روی نمودار می اندازند و فکر می کنند همین کافی است. در حالی که استفاده از یک MA به تنهایی سیگنال های غلط زیادی می دهد. بهترین روش این است که چند MA با دوره های مختلف را ترکیب کنید. مثلا کراس MA50 و MA200 (تقاطع طلایی یا مرگ) یک استراتژی معروف است که اعتبار بیشتری دارد.
انتخاب دوره اشتباه
انتخاب دوره MA باید با تایم فریم و سبک معاملاتی هماهنگ باشد. مثلا کسی که اسکلپ می زند نباید MA200 را ملاک بگیرد چون برای معاملات بلندمدت مناسب است. یا استفاده از MA20 در تایم فریم هفتگی معنی ندارد چون خیلی کوتاه است و سیگنال های زودگذر می دهد.
نادیده گرفتن نویزها
خیلی از تازه کارها فکر می کنند هر بار که قیمت MA را قطع کرد باید بلافاصله وارد معامله شوند. در صورتی که گاهی این کراس ها نویز هستند و روند واقعی بازار تغییر نکرده. برای فیلتر کردن این نویزها باید MA را با اندیکاتورهایی مثل RSI، MACD یا سطوح حمایت و مقاومت ترکیب کنید.
توجه نکردن به تایید روند کلی
بعضی ها فقط سیگنال کراس MA را می بینند اما وضعیت روند کلی را چک نمی کنند. مثلا اگر بازار در روند نزولی قوی باشد، کراس کوچک MA20 با MA50 نمی تواند نشانه برگشت بازار باشد. پس همیشه روند کلی تایم فریم های بالاتر را در نظر بگیرید.
تغییر زیاد تنظیمات
گاهی معامله گرها بعد از چند بار سیگنال اشتباه، دائم دوره MA را تغییر می دهند. این کار فقط باعث سردرگمی می شود. بهتر است دوره های استاندارد مثل MA20، MA50، MA100 یا MA200 را در نظر بگیرید و با همان ها استراتژی خود را بسنجید.
استفاده از MA بدون بک تست
بسیاری بدون اینکه استراتژی ترکیب MA را در گذشته بازار تست کنند، وارد معاملات واقعی می شوند. بهتر است قبل از استفاده از هر ترکیب MA در ترید واقعی، آن را روی داده های گذشته چک کنید تا نقاط ضعف و قوتش را بشناسید.
ابزارها و پلتفرمهای رایج برای استفاده از MA
برای استفاده از میانگین متحرک (MA) ابزارها و پلتفرم های بسیار متنوعی وجود دارد که معامله گران حرفه ای و تازه کار هر دو از آن ها استفاده می کنند. در ادامه پرکاربردترین آن ها را معرفی می کنیم:
تریدینگ ویو (TradingView)
بدون شک محبوب ترین پلتفرم تحلیل تکنیکال در دنیا است. ابزار MA در تریدینگ ویو بسیار ساده و انعطاف پذیر است. می توانید انواع MA ساده (SMA)، نمایی (EMA)، وزنی (WMA) و حتی میانگین های سفارشی را روی چارت اضافه کنید. همچنین امکان ترکیب آن با اندیکاتورهای دیگر، ذخیره قالب های شخصی و اشتراک گذاری تحلیل ها با دیگران وجود دارد.
متاتریدر پلتفرم کلاسیک معامله گران فارکس است که در بازار کریپتو هم کاربرد دارد. ابزار Moving Average به صورت پیش فرض در این نرم افزار وجود دارد و امکان تنظیم دوره، روش محاسبه (SMA، EMA، Smoothed، Linear Weighted) و ظاهر خط کاملا فراهم است.
کوین مارکت کپ و کوین گکو (CoinMarketCap / CoinGecko)
این وب سایت ها بیشتر برای مشاهده قیمت ها و اطلاعات بازار هستند اما بخش چارت آن ها هم ابزارهای ساده MA را ارائه می دهد. برای افرادی که دنبال تحلیل سبک و سریع هستند مفید است.
صرافی های بزرگ مثل بایننس، کوکوین و اوکی اکسچنج
بیشتر صرافی های معتبر امکانات نمودار پیشرفته دارند که اغلب با تریدینگ ویو یکپارچه شده اند. مثلا در بایننس می توانید روی چارت جفت ارز مورد نظر، اندیکاتور MA را اضافه کنید و حتی چند دوره مختلف را همزمان ببینید.
نرم افزارهای حرفه ای مثل NinjaTrader و ThinkorSwim
این ها بیشتر مخصوص معامله گران حرفه ای هستند که نیاز به تحلیل عمیق تر دارند. امکانات سفارشی سازی و ترکیب استراتژی ها در این نرم افزارها بسیار پیشرفته تر از پلتفرم های عمومی است.
اپلیکیشن های موبایل مثل Investing.com و Binance App
برای افرادی که همیشه پای کامپیوتر نیستند، اپلیکیشن های موبایل با امکانات چارت و ابزار MA گزینه خوبی هستند. در این برنامه ها می توانید به سادگی میانگین متحرک را روی نمودار فعال کنید و در لحظه روندها را دنبال کنید.
پیشنهاد مطالعه: معرفی صرافی ژوپیتر
مقایسه میانگین متحرک با سایر اندیکاتورها
| مقایسه | میانگین متحرک (MA) | MACD | RSI | باند بولینگر | Stochastic |
| نوع اندیکاتور | روندی | اسیلاتور نوسانی | ترکیبی (روند + قدرت روند) | ترکیبی (روند + نوسان) | اسیلاتور نوسانی |
| کاربرد اصلی | دنبال کردن روند کلی قیمت | شناسایی اشباع خرید و فروش، برگشت روند | نمایش قدرت روند و کراس های سیگنالی | نمایش روند + محدوده نوسان قیمت | شناسایی نقاط برگشت کوتاه مدت |
| سیگنال ها | سیگنال دیرتر (تاخیری) | سیگنال سریع برگشتی | کراس خط سیگنال، عبور از خط صفر | برخورد قیمت به باندها | تقاطع خطوط سریع و کند |
| مزیت مهم | ساده، قابل فهم، پایه ساخت بسیاری از اندیکاتورها | سریع در نوسان گیری | ترکیب دو MA برای شناسایی تغییر روند | نمایش محدوده حمایت/مقاومت پویا | دقت بالا در تایید برگشت قیمت |
| محدودیت اصلی | نویز کمتر ولی دیر واکنش می دهد | سیگنال های اشتباه در بازار رونددار | ممکن است در بازار رنج سیگنال کاذب بدهد | در بازار بدون روند کاربرد کمتر دارد | در بازار رونددار ممکن است سیگنال اشتباه بدهد |
| ترکیب ایده آل | ترکیب با RSI یا MACD برای کاهش خطا | ترکیب با MA برای تایید روند | ترکیب با MA بلندمدت | ترکیب با MA وسط باند | ترکیب با MA برای تایید روند کلی |
ترکیب میانگین متحرک با ابزارهای دیگر
میانگین متحرک به تنهایی ابزار مفیدی برای تحلیل روند قیمت است، اما وقتی با سایر اندیکاتورها ترکیب شود، دقت تحلیل بالا می رود و معامله گر می تواند تصمیم های مطمئن تری بگیرد. در این بخش، به دو ترکیب بسیار پرکاربرد یعنی ترکیب میانگین متحرک با RSI و MACD می پردازیم.
۱. ترکیب میانگین متحرک با RSI
اندیکاتور RSI یا شاخص قدرت نسبی، میزان قدرت حرکت قیمت را در بازه های زمانی مشخص نشان می دهد. اگر مقدار RSI از عدد ۷۰ بالاتر برود، به معنای اشباع خرید است و اگر زیر ۳۰ قرار بگیرد، نشان دهنده اشباع فروش است. حالا اگر این اطلاعات را با میانگین متحرک ترکیب کنیم، سیگنال های بسیار دقیق تری به دست می آوریم. برای مثال:
- اگر قیمت بالای میانگین متحرک باشد و RSI عددی بالاتر از ۷۰ را نشان دهد، احتمال دارد قیمت به زودی اصلاح شود.
- اگر قیمت پایین میانگین متحرک باشد و RSI کمتر از ۳۰ باشد، ممکن است فرصت مناسبی برای خرید در کف باشد.
- این ترکیب کمک می کند تا تصمیم ها فقط بر اساس یک اندیکاتور نباشد و خطاهای احتمالی کاهش پیدا کند.
۲. ترکیب میانگین متحرک با MACD
MACD یکی دیگر از اندیکاتورهای معروف است که خودش از میانگین های متحرک ساخته شده است. این ابزار به خوبی نقاط ورود و خروج از بازار را مشخص می کند و معمولاً برای شناسایی تغییر روند و واگرایی بین قیمت و حرکت بازار استفاده می شود. اگر خط MACD از پایین به بالا خط سیگنال را قطع کند، سیگنال خرید صادر می شود. برعکس، اگر از بالا به پایین قطع کند، نشانه ای برای فروش است. حالا اگر این اتفاق ها همزمان با عبور قیمت از میانگین متحرک (مثلاً EMA 50 یا EMA 100) رخ دهد، آن سیگنال قدرت بیشتری پیدا می کند و اعتبار آن بیشتر خواهد بود. همچنین واگرایی بین MACD و نمودار قیمت نیز یکی دیگر از ابزارهای تحلیل قدرتمند است. اگر قیمت در حال بالا رفتن باشد ولی MACD شروع به کاهش کند، ممکن است نشانه ای از ضعف روند صعودی و تغییر جهت قیمت در آینده باشد.
کلام آخر
در پايان بايد گفت كه ميانگين متحرك يكي از ساده ترين اما كاربردي ترين ابزارهاي تحليل تكنيكال است كه به معامله گران كمك مي كند روند كلي بازار را بهتر درك كنند. اين ابزار با نرم كردن نوسانات قيمتي، مسير حركت بازار را واضح تر نشان مي دهد. با اين حال استفاده از ميانگين متحرك به تنهايي كافي نيست و براي كاهش ريسك و افزايش دقت تحليل، بهتر است آن را با ابزارهاي ديگر تركيب كنيد. همچنين هميشه رعايت مديريت سرمايه و كنترل ريسك را در نظر داشته باشيد تا تصميم هاي منطقي تر و سودآورتري بگيريد.

مریم گوهرزاد
مدرس و بنیانگذار هلدینگ آرتا رسانه. برنامه نویس و محقق حوزه بلاکچین




